こんにちは。今年からユニファに新設されたR&Dチームで画像やバイタルデータの分析を行っている浅野です。今日は現在携わっている仕事の内容やその背後にある想いをご紹介したいと思います。
弊社で提供しているサービスのひとつに「ルクミー午睡チェック」があります。加速度センサーを使って園児が午睡(=お昼寝)中の身体の向きをチェックして自動で記録するものです。うつぶせ寝や動きの停止を検知してアラートを出す機能もあります。
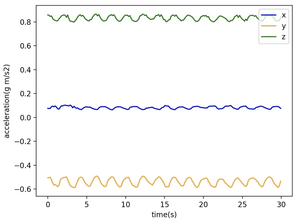
このサービスは、5分おきに手書きで園児の様子を記録していた保育士さんの手間と、命を預かることの心理的負担を軽減することに役立っていますが、実はセンサーから得られる波形データ(例:下図)には身体の向きや動きの他にもたくさんの情報が含まれていると考えています。睡眠中にどれだけ寝返りや体動があったか、呼吸の深さや速さはどのように変化したか、いつもと傾向は同じかどうか。「息が荒くなる」という表現があるように、体調の変化が呼吸に表れることもあり、園児がどのような状態で午睡をしていたかをより深く理解することで大きな価値につながる可能性があります。どんな情報を誰にどのように提供するとサービス向上に役立つのか、日々考えながら分析を行っています。


人生に寄り添うデータ分析
ところで、私はたくさんの午睡データを眺めてきたおかげで、 最近では加速度センサーの値の推移をみただけで園児の状況がリアルに想像できるようになってきました。例えば、下図のような波形(実例をもとにして作成した仮想データ)をみると、この子は最初なかなか寝付けなかったけど、保育士さんに抱っこしてもらったことで安心してすやすやと眠れたんだな、よかったなぁ、と少しほっこりした気持ちになります。

データ分析で大事なのは技術的なことだけでありません。ドメインの知識も総動員してデータの背後にある人生に寄り添う。そこから見えてくる仮説をまたデータや理論に戻って検証する。想定と異なる結果が出たら、それが実世界で何を意味するのかをまた考える。常に複眼で物事を捉えることでまだ誰も手にしていないインサイトを引き出すことが可能になります。
また、ユニファでは午睡データ分析だけでなく、保育園内の日常を撮影したたくさんの画像データから様々な技術をつかって有用な情報を引き出すことにも挑戦しています。園児の安心安全と豊かな学びの場をつくりたい。園での様子を保護者にフィードバックすることで家族コミュニケーションを豊かにしたい。そんな想いでデータと向き合っています。
保育の世界を変えるエンジニア募集中
弊社では一緒に働く仲間を大募集中です。少しでも興味を持たれた方はぜひ声をかけてください!
